Страница 48 - ГДЗ Математика 1 класс. Моро, Волкова. Учебник часть 2

Старая и новая редакции

Вернуться к содержанию учебника

44 46 47 48 49 50 51

Вопрос

1. Сколько палочек на каждом рисунке?

Подсказка

В нашем справочнике повтори тему про числа от 11 до 20.

Ответ

Решение

12, 15, 11


Пояснение

1 дес. 2 ед. = 12


1 дес. 5 ед. = 15


1 дес. 1 ед. = 11

Вопрос

2.  (Устно.) Мама купила 2 десятка яиц, но 1 яйцо разбилось.

Сколько яиц осталось?

Подсказка

В нашем справочнике повтори тему про числа от 11 до 20 и состав числа 10. Загляни в тему "Вычитание".

Ответ

Решение


Объяснение

2 десятка - это 2 раза по 10

2 дес. = 20

Разбилось, значит, уменьшилось. Вычитание. Знак минус.

20 - 1 = ?

Когда мы вычитаем 1, получается ПРЕДЫДУЩЕЕ число.

20 - 1 = 19

Вопрос

3. (Устно.) В городе было 10 кинотеатров. Построили ещё 1.

Сколько кинотеатров стало в городе?

Подсказка

В нашем справочнике повтори тему про числа от 11 до 20. Загляни в тему "Сложение".

Ответ

Решение


Объяснение

Построили, значит, увеличилось. Сложение. Знак плюс.

10 + 1 = 

Когда мы прибавляем 1, получается СЛЕДУЮЩЕЕ ЧИСЛО.

10 + 1 = 11 (к.)

Вопрос

4. 

1) Вычитай по одному, начиная с числа двадцать, до числа одиннадцать.

2) Назови число, следующее при счёте за числом двенадцать, идущее при счёте пе­ред числом двадцать.

Подсказка

Повтори числа от 11 до 20 и помни: когда мы вычитаем 1, получается ПРЕДЫДУЩЕЕ ЧИСЛО.

Ответ

Решение

1) Вычитай по одному, начиная с числа двадцать, до числа одиннадцать.

2) Назови число, следующее при счёте за числом двенадцать - ТРИНАДЦАТЬ.

 Назови число, идущее при счёте пе­ред числом двадцать - ДЕВЯТНАДЦАТЬ.


Пояснение

Когда мы вычитаем 1, получается ПРЕДЫДУЩЕЕ ЧИСЛО.

Вопрос

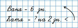
5.   У Вани 6 значков, а у Кати на 2 значка меньше.

Сколько значков у Кати?

Подсказка

В нашем справочнике повтори, как определить, на сколько меньше и вспомни состав числа 6 и знаки больше-меньше.

Ответ

Решение


Объяснение

На 2 значка меньше. Уменьшение. Вычитание. Знак минус.

6 - 2 = ?

6 - это 2 и 4

6 - 2 = 4 (зн.)

Вопрос

Выберите год учебника

Стр. 48 учебника 2011-2022:

6.  

1) Петя сделал из шишек 7 поделок, а Миша — на 3 больше.

Сколько поделок сделал Миша?

2) У Миши 10 поделок из шишек. Он от­дал на школьную выставку 6 из них.

Сколько поделок осталось у Миши?


Стр. 48 учебника 2023-2024:

6. Когда Вова сорвал столько же яблок, сколько у него было, у него стало 6 яблок. Сколько яблок сорвал Вова?

Запиши только ответ.

Подсказка

Стр. 48 учебника 2011-2022:

В нашем справочнике повтори всё о сложении и вычитании, вспомни, как определить, на сколько больше, состав числа 6 и знаки больше-меньше.


Стр. 48 учебника 2023-2024:

Повтори, что такое отрезок.

Ответ

Стр. 48 учебника 2011-2022:

Решение

1) Сколько поделок сделал Миша?

2) Сколько поделок осталось у Миши?

_____________________________________________________________________________________________________________________________________

Объяснение

1 задача

На 3 больше. Сложение. Знак плюс.

7 + 3 = ?

10 - это 7 и 3

7 + 3 = 10 (поделок)


2 задача

Сколько осталось? Нужно из большего числа вычесть меньшее. Вычитание. Знак минус.

10 - 6 = ?

10 - это 6 и 4

10 - 6 = 4 (поделки)


Стр. 48 учебника 2023-2024:

Решение

Ответ: 3 яблока сорвал Вова.


Пояснение

6 : 2 = 3 (ябл.)

Вопрос

7.  

1) Петя сделал из шишек 7 поделок, а Миша — на 3 больше.

Сколько поделок сделал Миша?

2) У Миши 10 поделок из шишек. Он от­дал на школьную выставку 6 из них.

Сколько поделок осталось у Миши?

Подсказка

В нашем справочнике повтори всё о сложении и вычитании, вспомни, как определить, на сколько больше, состав числа 6 и знаки больше-меньше.

Ответ

Решение

1) Сколько поделок сделал Миша?

2) Сколько поделок осталось у Миши?

_____________________________________________________________________________________________________________________________________

Объяснение

1 задача

На 3 больше. Сложение. Знак плюс.

7 + 3 = ?

10 - это 7 и 3

7 + 3 = 10 (поделок)


2 задача

Сколько осталось? Нужно из большего числа вычесть меньшее. Вычитание. Знак минус.

10 - 6 = ?

10 - это 6 и 4

10 - 6 = 4 (поделки)

Вернуться к содержанию учебника