Вернуться к содержанию рабочей тетради
Для закрепления и проверки знаний. Страница 78
Соедини линией карточку, на которой записано выражение, с карточкой, на которой записано его значение.

Раскрась одним и тем же цветом карточки, на которых записаны выражения с равными значениями.

Уменьши 74 на 20. Закрась карточку, на которой записан ответ.

Вспомни, что значит уменьшить на ...
Вычисли значения выражений.

Повтори случаи табличного сложения и вычитания.
Вспомни о порядке действий при решении числовых выражений со скобками.


Вариант ответа #1:
Решение

Пояснение
| 34 + 3 = (30 + 4) + 3 = 30 + (4 + 3) = 30 + 7 = 37 | 76 - 40 = (70 + 6) - 40 = (70 - 40) + 6 = 30 + 6 = 36 |
| 47 - 9 = 47 - (7 + 2) = (47 - 7) - 2 = 40 - 2 = 38 | 18 + 50 = (10 + 8) + 50 = (10 + 50) + 8 = 60 + 8 = 68 |
| 91 - 6 = 91 - (1 + 5) = (91 - 1) - 5 = 90 - 5 = 85 | 74 + 7 = 74 + (6 + 1) = (74 + 6) + 1 = 80 + 1 = 81 |
Вариант ответа #2:
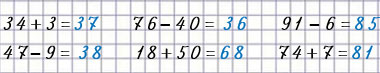
| 34 + 3 = 37 | 76 - 40 = 36 | 91 - 6 = 85 |
| 47 - 9 = 38 | 18 + 50 = 68 | 74 + 7 = 81 |
Вернуться к содержанию рабочей тетради