Вернуться к содержанию учебника
Страница 199
Вычислите:
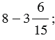
1)
6) 
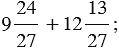
2)
7) 
3)
8) 
4)
9) 
5)
10) 
Вспомните:
Вернуться к содержанию учебника