Задание 1121 - ГДЗ Математика 5 класс. Виленкин, Жохов, Чесноков. Учебник. Страница 175

Старая и новая редакции

Вернуться к содержанию учебника

1118 1119 1120 1121 1122 1123 1124

Вопрос

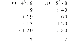
№1121 учебника 2011-2016 (стр. 175):

Подсказка

№1121 учебника 2011-2016 (стр. 175):

Вспомните:

  1. Степень числа.
  2. Сложение чисел.
  3. Вычитание чисел.
  4. Умножение чисел.
  5. Деление чисел.

Ответ

№1121 учебника 2011-2016 (стр. 175):


Вернуться к содержанию учебника