Задание 1357 - ГДЗ Математика 5 класс. Виленкин, Жохов, Чесноков. Учебник. Страница 211

Старая и новая редакции

Вернуться к содержанию учебника

1354 1355 1356 1357 1358 1359 1360

Вопрос

№1357 учебника 2011-2016 (стр. 211):

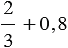
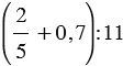
Представьте обыкновенную дробь в виде десятичной и выполните действия:

а) ;             в) ;                           д) ;

б) ;        г) ;        е) .

Подсказка

№1357 учебника 2011-2016 (стр. 211):

Вспомните:

  1. Что такое обыкновенная дробь.
  2. Десятичную запись дробных чисел.
  3. Деление и умножение десятичных дробей на натуральное число.
  4. Сложение и вычитание десятичных дробей.
  5. Порядок выполнения действий.

Ответ

№1357 учебника 2011-2016 (стр. 211):


Вернуться к содержанию учебника