Задание 949 - ГДЗ Математика 6 класс. Виленкин, Жохов, Чесноков. Учебник. Страница 159

Старая и новая редакции

Вернуться к содержанию учебника

946 947 948 949 950 951 952

Вопрос

№949 учебника 2011-2017 (стр. 159):

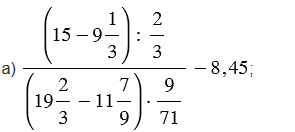
Найдите значение выражения:

Подсказка

№949 учебника 2011-2017 (стр. 159):

Вспомните:

  1. Деление и дроби (дробные выражения).
  2. Сложение и вычитание дробей с разными знаменателями.
  3. Умножение обыкновенных дробей.
  4. Деление обыкновенных дробей.
  5. Сложение десятичных дробей.
  6. Умножение десятичных дробей.
  7. Деление десятичных дробей.
  8. Неправильные дроби.
  9. Смешанные числа.
  10. Приведение дробей к общему знаменателю.
  11. Сокращение дробей.

Ответ

№949 учебника 2011-2017 (стр. 159):


Вернуться к содержанию учебника