Вернуться к содержанию учебника
№1045 учебника 2011-2017 (стр. 177):
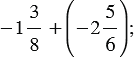
Выполните сложение:
а) - 35 + (- 9); д) - 1,6 + (- 4,7); и) 
б) - 7 + (- 14); е) - 5,6 + (- 2,4); к) 
в) - 17 + (- 8); ж) - 8,8 + (- 4,2); л) 
г) - 5 + (- 238); з) - 1,75 + (- 8,25); м) 
№1045 учебника 2011-2017 (стр. 177):
Вспомните:
Вернуться к содержанию учебника