Вернуться к содержанию учебника
1278 1279 1280 1281 1282 1283 1284 1285 1286 1287 1288
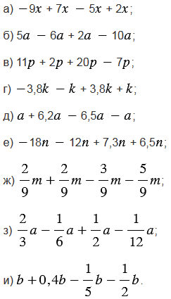
№1283 учебника 2011-2017 (стр. 225):
Сложите подобные слагаемые:
Вспомните: