Задание 1488 - ГДЗ Математика 6 класс. Виленкин, Жохов, Чесноков. Учебник. Страница 267

Старая и новая редакции

Вернуться к содержанию учебника

1485 1486 1487 1488 1489 1490 1491

Вопрос

№1488 учебника 2011-2017 (стр. 267):

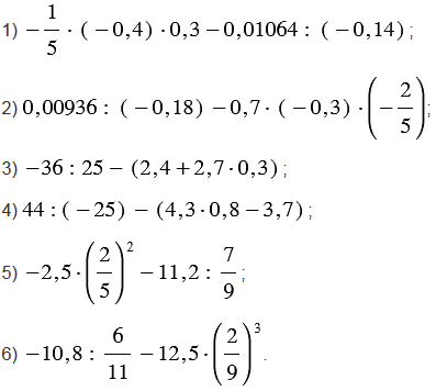
Выполните действия:

Подсказка

№1488 учебника 2011-2017 (стр. 267):

Ответ

№1488 учебника 2011-2017 (стр. 267):


Вернуться к содержанию учебника