Номер 437 - ГДЗ Математика 6 класс. Мерзляк, Полонский. Учебник. Страница 82

Вернуться к содержанию учебника

Страница 82

434 435 436 437 438 439 440

Вопрос

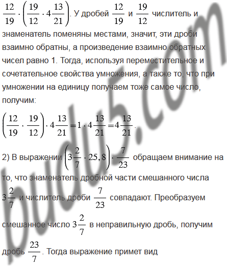
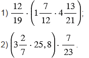
Вычислите наиболее удобным способом:

Подсказка

Вспомните:

  1. Умножение обыкновенных дробей, взаимно обратные числа.
  2. Смешанные числа.
  3. Неправильные дроби.

Ответ


Вернуться к содержанию учебника