Номер 979 - ГДЗ Математика 6 класс. Мерзляк, Полонский. Учебник. Страница 209

Вернуться к содержанию учебника

Страница 209

976 977 978 979 980 981 982

Вопрос

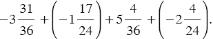
Найдите значение выражения:

1) 78 + 36 + 19 + (22) + (25);

2) 0,74 + (9,39) + 3,26 + (10,61) + 5,25;

3)

4)

5)

Подсказка

Ответ


Вернуться к содержанию учебника