Вернуться к содержанию учебника
Страница 16
37 38 39 40 41 42 43 44 45 46 47
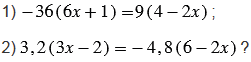
Чему равен корень уравнения:
Вспомните: