Номер 60 - ГДЗ Алгебра 7 класс. Мерзляк, Полонский. Учебник. Страница 17

Вернуться к содержанию учебника

Страница 17

57 58 59 60 61 62 63

Вопрос

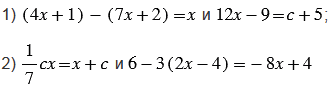
При каком значении уравнения:

имеют один и тот же корень?

Подсказка

Ответ


Вернуться к содержанию учебника