Номер 6. Задание "Проверь себя" №1 - ГДЗ Алгебра 7 класс. Мерзляк, Полонский. Учебник. Страница 27

Вернуться к содержанию учебника

Задание "Проверь себя" №1. Страница 27

3 4 5 6 7 8 9

Вопрос

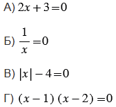
Какое из уравнений является линейным?

Подсказка

Ответ

3 4 5 6 7 8 9


Вернуться к содержанию учебника