Номер 143 - ГДЗ Алгебра 7 класс. Мерзляк, Полонский. Учебник. Страница 34

Вернуться к содержанию учебника

Страница 34

140 141 142 143 144 145 146

Вопрос

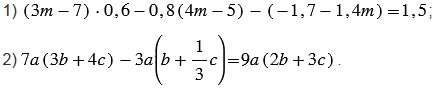
Докажите тождество:

Подсказка

Вспомните:

  1. Что называют тождеством.
  2. Свойства действий с рациональными числами.
  3. Подобные слагаемые, раскрытие скобок.
  4. Правила сложения рациональных чисел.
  5. Правила вычитания рациональных чисел.
  6. Правила умножения рациональных чисел.
  7. Противоположные числа.
  8. Модуль числа.
  9. Умножение десятичных дробей.
  10. Сложение и вычитание десятичных дробей.
  11. Умножение обыкновенных дробей.

Ответ


Вернуться к содержанию учебника