Номер 6. Задание "Проверь себя" №2 - ГДЗ Алгебра 7 класс. Мерзляк, Полонский. Учебник. Страница 68

Вернуться к содержанию учебника

Задание "Проверь себя" №2. Страница 68

3 4 5 6 7 8 9

Вопрос

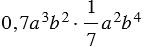
Какому из одночленов равно выражение ?

Подсказка

Ответ

3 4 5 6 7 8 9


Вернуться к содержанию учебника