Вернуться к содержанию учебника
Страница 72
366 367 368 369 370 371 372 373 374 375 376
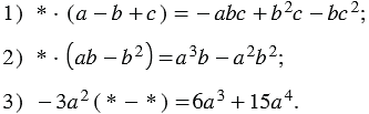
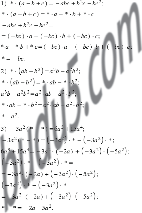
Замените звёздочки такими одночленами, чтобы образовалось тождество:
Вспомните: