Номер 383 - ГДЗ Алгебра 7 класс. Мерзляк, Полонский. Учебник. Страница 73

Вернуться к содержанию учебника

Страница 73

380 381 382 383 384 385 386

Вопрос

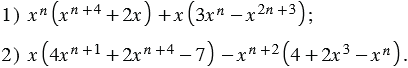
Упростите выражение:

Подсказка

Ответ


Вернуться к содержанию учебника