Вернуться к содержанию учебника
Страница 77
397 398 399 400 401 402 403 404 405 406 407
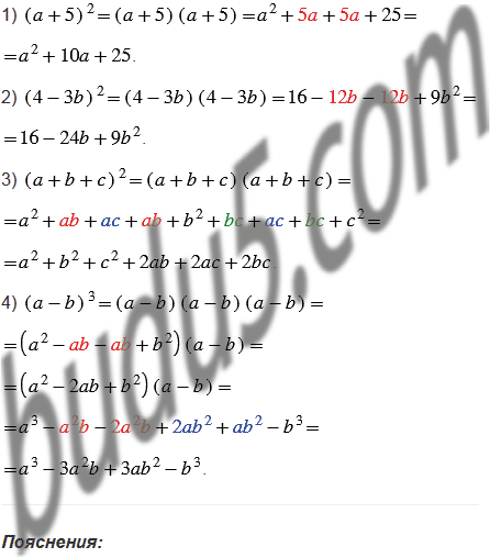
Замените степень произведением, а затем произведение преобразуйте в многочлен:
Вспомните: