Номер 433 - ГДЗ Алгебра 7 класс. Мерзляк, Полонский. Учебник. Страница 83

Вернуться к содержанию учебника

Страница 83

430 431 432 433 434 435 436

Вопрос

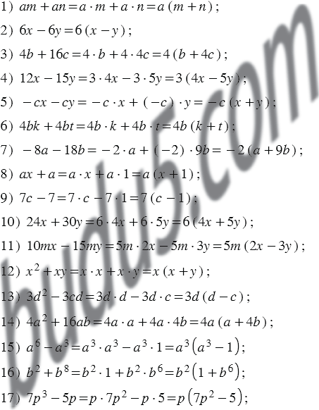
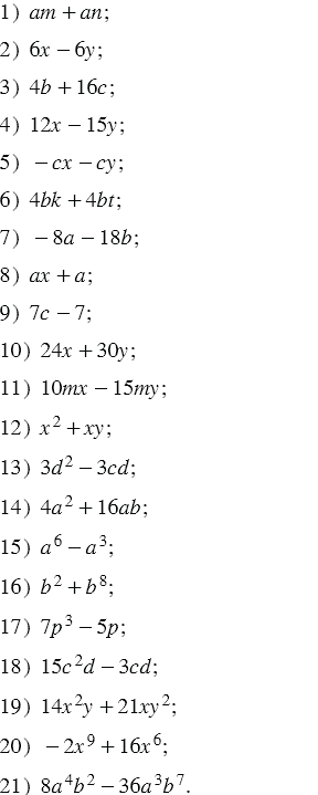
Вынесите за скобки общий множитель:

Подсказка

Ответ


Вернуться к содержанию учебника