Вернуться к содержанию учебника
Страница 106
581 582 583 584 585 586 587 588 589 590 591
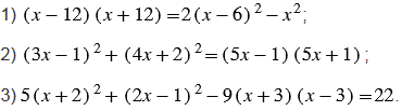
Решите уравнение:
Вспомните: