Вернуться к содержанию учебника
Страница 112
628 629 630 631 632 633 634 635 636 637 638
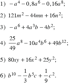
Представьте, если это можно, в виде квадрата двучлена или в виде выражения, противоположного квадрату двучлена, трёхчлен:
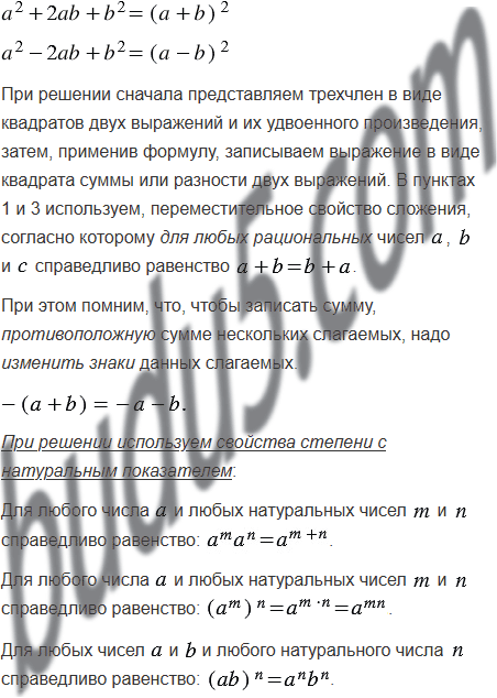
Вспомните: