Номер 643 - ГДЗ Алгебра 7 класс. Мерзляк, Полонский. Учебник. Страница 113

Вернуться к содержанию учебника

Страница 113

640 641 642 643 644 645 646

Вопрос

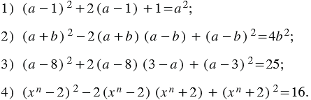
Докажите тождество:

где - произвольное натуральное число.

Подсказка

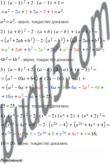
Ответ


Вернуться к содержанию учебника