Номер 689 - ГДЗ Алгебра 7 класс. Мерзляк, Полонский. Учебник. Страница 120

Вернуться к содержанию учебника

Страница 120

686 687 688 689 690 691 692

Вопрос

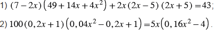
Решите уравнение:

Подсказка

Ответ


Вернуться к содержанию учебника