Номер 842 - ГДЗ Алгебра 7 класс. Мерзляк, Полонский. Учебник. Страница 161

Вернуться к содержанию учебника

Страница 161

839 840 841 842 843 844 845

Вопрос

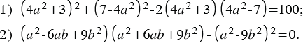
Докажите тождество:

Подсказка

Ответ


Вернуться к содержанию учебника