Номер 911 - ГДЗ Алгебра 7 класс. Мерзляк, Полонский. Учебник. Страница 183

Вернуться к содержанию учебника

Страница 183

908 909 910 911 912 913 914

Вопрос

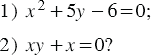
Какие из пар чисел (0; 1); (5; 4); (0; 1,2); (1; 1); (1; 1) являются решениями уравнения:

Подсказка

Ответ


Вернуться к содержанию учебника