Вернуться к содержанию учебника
Страница 202
1017 1018 1019 1020 1021 1022 1023 1024 1025 1026 1027
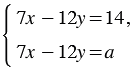
При каких значениях система уравнений
1)
не имеет решений;
2)
имеет бесконечно много решений?
Вспомните: