Задание 1049 - ГДЗ Математика 5 класс. Виленкин, Жохов. Учебник часть 2. Страница 187

Старая и новая редакции

Вернуться к содержанию учебника

1046 1047 1048 1049 1050 1051 1052

Вопрос

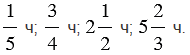
№1049 учебника 2017-2020 (стр. 187):

Выразите в минутах:

Подсказка

№1049 учебника 2017-2020 (стр. 187):

Вспомните:

  1. Единицы измерения времени.
  2. Что показывают числитель и знаменатель дроби.
  3. Смешанные числа.
  4. Деление чисел.
  5. Умножение чисел.
  6. Сложение чисел.

Ответ

№1049 учебника 2017-2020 (стр. 187):


Вернуться к содержанию учебника