Задание 569 - ГДЗ Математика 6 класс. Виленкин, Жохов. Учебник часть 1

Старая и новая редакции

Вернуться к содержанию учебника

566 567 568 569 570 571 572

Вопрос

Выберите год учебника

№569 учебника 2018-2020 (стр. 103):

В магазин привезли 658 кг персиков. В первый день продали всех персиков, а во второй день - 0,3 оставшихся персиков. Сколько килограммов персиков продали во второй день?


№569 учебника 2011-2017 (стр. 92):

Упростите и найдите значение выражения:

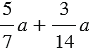
а) при = ; ;

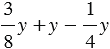
б) при = ; ;

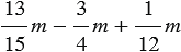
в) при = ; ;

г) при = ; .

Подсказка

№569 учебника 2018-2020 (стр. 103):

Вспомните:

  1. Что такое дробь.
  2. Умножение дробей.
  3. Какие числа называют натуральными.
  4. Умножение, деление и вычитание натуральных чисел.
  5. Десятичную запись дробных чисел.
  6. Умножение десятичных дробей.

№569 учебника 2011-2017 (стр. 92):

Вспомните:

  1. Что такое дробь.
  2. Сложение и вычитание обыкновенных дробей.
  3. Распределительное свойство умножения.
  4. Что такое смешанное число.
  5. Сложение и вычитание смешанных чисел.
  6. Умножение дробей.
  7. Что такое буквенное выражение.

Ответ

№569 учебника 2018-2020 (стр. 103):


№569 учебника 2011-2017 (стр. 92):


Вернуться к содержанию учебника