Вернуться к содержанию учебника
Упражнения §17. Страница 140
549 550 551 552 553 554 555 556 557 558 559
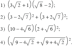
Найдите значение выражения:
Вспомните: