Вернуться к содержанию учебника
Упражнения §18. Страница 149
597 598 599 600 601 602 603 604 605 606 607
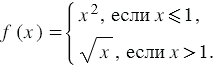
Дана функция
1) Найдите:
2) Постройте график данной функции.
Вспомните: