Номер 769 - ГДЗ Алгебра 8 класс. Мерзляк, Полонский. Учебник. Страница 186

Вернуться к содержанию учебника

Упражнения §22. Страница 186

766 767 768 769 770 771 772

Вопрос

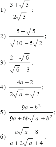
Сократите дробь:

Подсказка

Ответ


Вернуться к содержанию учебника