Вернуться к содержанию учебника
Упражнения §23. Страница 191
782 783 784 785 786 787 788 789 790 791 792
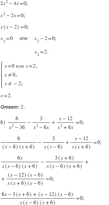
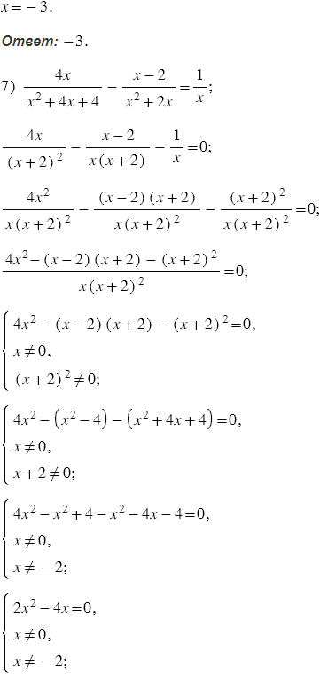
Найдите корни уравнения:
Вспомните: