Номер 7 - ГДЗ Алгебра 8 класс. Мерзляк, Полонский. Учебник. Страница 211

Вернуться к содержанию учебника

Задание №6 "Проверь себя". Страница 211

4 5 6 7 8 9 10

Вопрос

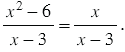
Решите уравнение

А) 2

Б) 3

В) 2; 3

Г) 3; 2

Подсказка

Ответ

4 5 6 7 8 9 10


Вернуться к содержанию учебника