Номер 852 - ГДЗ Алгебра 8 класс. Мерзляк, Полонский. Учебник. Страница 217

Вернуться к содержанию учебника

Упражнения для повторения курса алгебры 8 класса. Страница 217

849 850 851 852 853 854 855

Вопрос

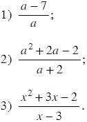
Запишите дробь в виде суммы целого выражения и дроби:

Подсказка

Вспомните:

  1. Какие дроби называют рациональными.
  2. Какие выражения называются дробными, а какие целыми.
  3. Сокращение рациональной дроби.
  4. Сложение и вычитание рациональных дробей с одинаковыми знаменателями.
  5. Правила сложения и вычитания рациональных чисел.

Ответ


Вернуться к содержанию учебника