Номер 858 - ГДЗ Алгебра 8 класс. Мерзляк, Полонский. Учебник. Страница 217

Вернуться к содержанию учебника

Упражнения для повторения курса алгебры 8 класса. Страница 217

855 856 857 858 859 860 861

Вопрос

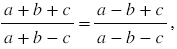
Докажите, что если то или 

Подсказка

Ответ


Вернуться к содержанию учебника