Вернуться к содержанию учебника
Упражнения для повторения курса алгебры 8 класса. Страница 218
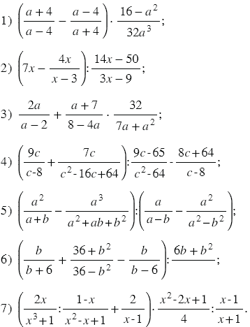
862 863 864 865 866 867 868 869 870 871 872
Упростите выражение:
Вспомните: