Вернуться к содержанию учебника
Упражнения для повторения курса алгебры 8 класса. Страница 220
871 872 873 874 875 876 877 878 879 880 881
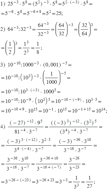
Найдите значение выражения:
Вспомните: