Номер 908 - ГДЗ Алгебра 8 класс. Мерзляк, Полонский. Учебник. Страница 225

Вернуться к содержанию учебника

Упражнения для повторения курса алгебры 8 класса. Страница 225

905 906 907 908 909 910 911

Вопрос

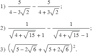
Найдите значение выражения:

Подсказка

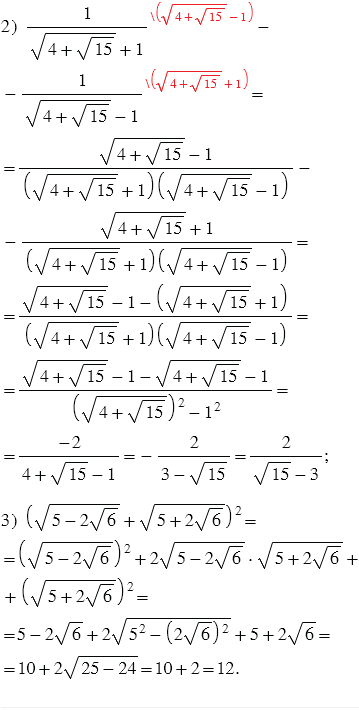
Ответ


Вернуться к содержанию учебника