Задание 1252 - ГДЗ Математика 6 класс. Виленкин, Жохов, Чесноков. Учебник. Страница 219

Старая и новая редакции

Вернуться к содержанию учебника

1249 1250 1251 1252 1253 1254 1255

Вопрос

№1252 учебника 2011-2017 (стр. 219):

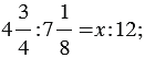
Найдите неизвестный член пропорции:

1)

2)

Подсказка

Ответ

№1252 учебника 2011-2017 (стр. 219):


Вернуться к содержанию учебника