Задание 1256 - ГДЗ Математика 6 класс. Виленкин, Жохов, Чесноков. Учебник. Страница 220

Старая и новая редакции

Вернуться к содержанию учебника

1253 1254 1255 1256 1257 1258 1259

Вопрос

№1256 учебника 2011-2017 (стр. 220):

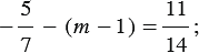
Решите уравнение:

а)

б)

в)

г)

д)

Подсказка

Ответ

№1256 учебника 2011-2017 (стр. 220):


Вернуться к содержанию учебника