Вернуться к содержанию учебника
Страница 54
257 258 259 260 261 262 263 264 265 266 267
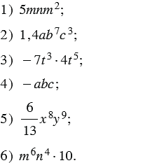
Укажите, какие из одночленов записаны в стандартном виде:
Вспомните: