Номер 261 - ГДЗ Алгебра 7 класс. Мерзляк, Полонский. Учебник. Страница 54

Вернуться к содержанию учебника

Страница 54

258 259 260 261 262 263 264

Вопрос

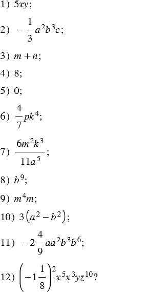
Является ли одночленом выражение:

Подсказка

Вспомните, какие выражения называют одночленами.

Ответ


Вернуться к содержанию учебника