Номер 357 - ГДЗ Алгебра 7 класс. Мерзляк, Полонский. Учебник. Страница 71

Вернуться к содержанию учебника

Страница 71

354 355 356 357 358 359 360

Вопрос

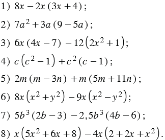
Упростите выражение:

Подсказка

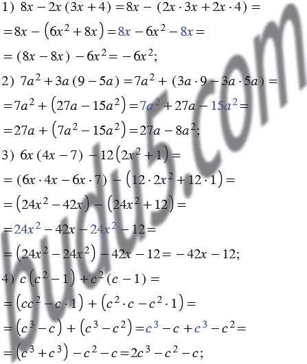
Ответ


Вернуться к содержанию учебника