Номер 358 - ГДЗ Алгебра 7 класс. Мерзляк, Полонский. Учебник. Страница 71

Вернуться к содержанию учебника

Страница 71

355 356 357 358 359 360 361

Вопрос

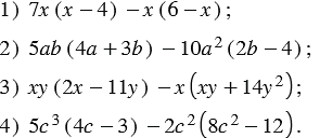
Упростите выражение:

Подсказка

Ответ


Вернуться к содержанию учебника