Номер 595 - ГДЗ Алгебра 7 класс. Мерзляк, Полонский. Учебник. Страница 106

Вернуться к содержанию учебника

Страница 106

592 593 594 595 596 597 598

Вопрос

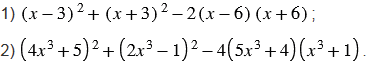
Докажите, что значение выражения не зависит от значения переменной:

Подсказка

Ответ


Вернуться к содержанию учебника