Вернуться к содержанию учебника
Страница 205
1032 1033 1034 1035 1036 1037 1038 1039 1040 1041 1042
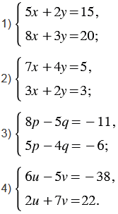
Решите систему уравнений:
Вспомните: