Номер 1038 - ГДЗ Алгебра 7 класс. Мерзляк, Полонский. Учебник. Страница 206

Вернуться к содержанию учебника

Страница 206

1035 1036 1037 1038 1039 1040 1041

Вопрос

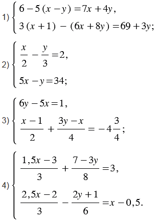
Найдите решение системы уравнений:

Подсказка

Ответ


Вернуться к содержанию учебника