Номер 562 - ГДЗ Алгебра 8 класс. Мерзляк, Полонский. Учебник. Страница 141

Вернуться к содержанию учебника

Упражнения §17. Страница 141

559 560 561 562 563 564 565

Вопрос

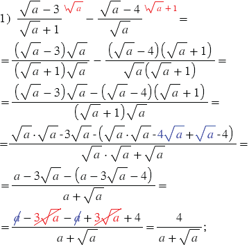
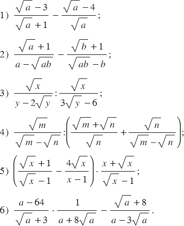
Упростите выражение:

Подсказка

Ответ


Вернуться к содержанию учебника