Номер 613 - ГДЗ Алгебра 8 класс. Мерзляк, Полонский. Учебник. Страница 150

Вернуться к содержанию учебника

Упражнения §18. Страница 150

610 611 612 613 614 615 1

Вопрос

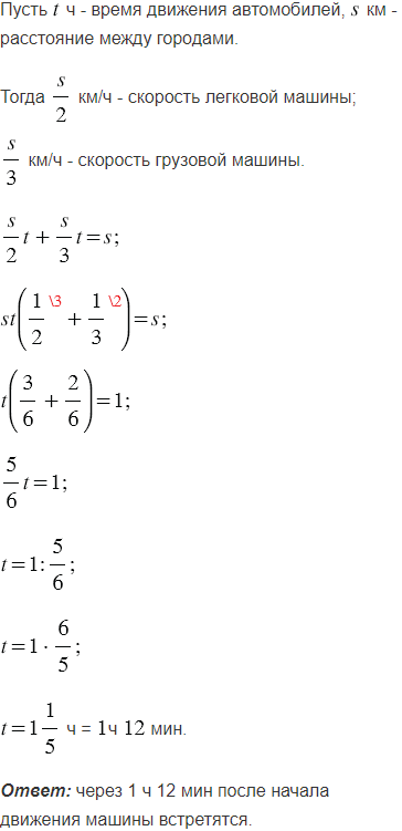
Расстояние между двумя городами легковая машина проезжает за 2 ч, а грузовая за 3 ч. Через какое время после начала движения они встретятся, если выедут одновременно навстречу друг другу из этих городов?

Подсказка

Ответ


Вернуться к содержанию учебника